2015年一级建造师《工程经济》第一章特训习题(3)_第2页

考试站(www.examzz.com)   【考试站:中国教育考试第一门户】   2015年4月17日


27.【2012年真题】某设备6年前的原始成本为90000元,目前的账面价值为30000元,现在的市场价值为16000元,则该设备的沉没成本为(  )元。
A.10000
B.14000
C.44000
D.60000
【答案】B。
【解析】沉没成本的计算公式如下:
沉没成本=设备账面价值-当前市场价值
沉没成本=(设备原值-历年折旧费)-当前市场价值
本题中该设备的沉没成本=30000元-16000元=14000元。

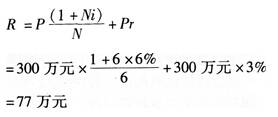
28.【2012年真题】某建筑公司融资租赁一台施工设备,设备价格300万元,租期为6年,每年年末支付租金,折现率为6%,附加率为3%。租赁保证金为30万元,租赁保证金在租赁期满时退还;担保费为2万元。租赁保证金和担保费的时间价值忽略不计。则按附加率法计算的年租金为(  )万元。
A.68.0
B.77.0
C.79.0
D.81.6
【答案】B。
【解析】按附加率法计算的年租金为

29.【2012年真题】某施工现场钢筋加工有两个方案,均不需要增加投资。采用甲方案固定费用50万元,每吨钢筋加工的可变费用是300元;采用乙方案需固定费用90万元,每吨钢筋加工的可变费用是250元。现场需加工钢筋1万t,如果用折算费用法选择方案,则(  )。

A.应该选用乙方案
B.应该选用甲方案
C.甲乙两个方案在经济上均不可行
D.甲乙两个方案的费用相同
【答案】A。
【解析】本题中运用折算费用法选择方案的过程如下:
甲方案=(50+300×1)万元=350万元。
乙方案=(90+250 × 1)万元=340万元。
由于甲方案的折算总费用大于乙方案,表明乙方案在经济上是可行的。

30.【2011年真题】某企业从金融机构借款100万元,月利率1%,按月复利计息,每季度付息一次,则该企业一年需向金融机构支付利息(  )万元。
A.12.00
B.12.12
C.12.55
D.12.68
【答案】B。
【解析】本题中按月复利计息,每季付息一次,即季度利率为:(1+1%)3-1=3.03%,则企业一年需支付的利息为:(100×3.03%×4)万元=12.12万元。


更多一级建造师信息请查看:一级建造师

首页 1 2 尾页

相关文章